面向世界科技前沿 面向经济主战场面向国家重大需求 面向人民生命健康

英国上市公司365时钟教授在磁振子输运领域取得重要进展,研究成果发表于《物理评论快报》

2024-02-07
【 字号:

近日,英国上市公司365时钟教授和北京师范大学物理系沈卡教授联合在磁振子输运领域取得新进展,研究成果以“Giant Magnon-Polaron Anomalies in Spin Seebeck Effect in Double Umbrella-Structured Tb3Fe5O12 Films”为题发表在物理学领域顶级期刊《物理评论快报》(Physical Review Letters)上。

近年研究表明,非共线磁性材料具有未补偿磁矩和拓扑磁性亚晶格结构。其中磁振子激发及其与声子耦合不但包含深刻物理内涵而且在自旋电子学应用方面有很强的应用前景,但是对其的深入研究仍然有限。自旋塞贝克效应(SSE) 自2008年被发现以来,已经成为了自旋电子学的研究热点。SSE本质上反映了磁性材料中磁振子和声子两种元激发之间相互作用,因而能够很好地研究磁性材料中磁性亚晶格结构及磁振子激发。

图一、非共线-双伞态磁结构中自旋输运示意图

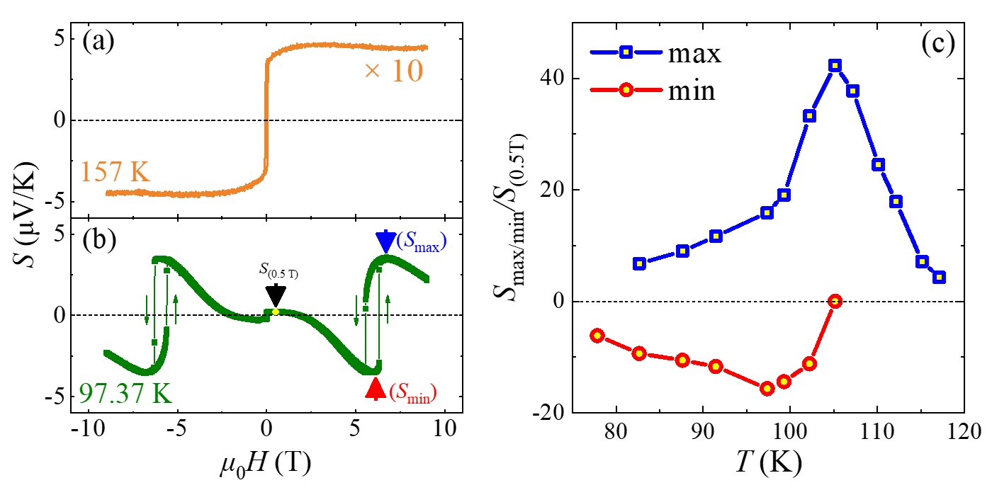
铽铁石榴石(Tb3Fe5O12, TbIG)作为一种比较特殊的稀土石榴石,其Tb亚晶格的磁矩会随着温度的降低从共线排列逐渐转变为非共线的锥形排列。在低温下,Tb与Fe亚晶格的磁矩在整体上形成了双伞态(double-umbrella)磁结构(如图一), 因而是研究磁振子激发及其与声子耦合的理想平台。本工作生长了TbIG/Pt异质结,研究了非共线-双伞态磁结构对SSE的调控作用。实验结果表明,当在TbIG [100]方向扫描磁场时,双伞态磁结构在低场下得以维持,SSE呈现低电压状态;随着磁场增大,SSE发生变号且信号显著增强,并在一个临界场突然翻转,表明磁结构存在突变。临界场附近的SSE系数相对于低场的值可增强40倍以上(如图二),远超之前在磁性材料体系中报道的数值。

图二、自旋塞贝克系数在不同温度下的磁场依赖关系以及自旋塞贝克放大系数的温度依赖关系

进一步的理论建模揭示了磁结构随磁场变化的演化过程,再现了SSE的变号行为及幅值在临界磁场附近的显著增强:磁振子色散曲线在临界场附近对磁场变化非常敏感,导致不同手性磁振子对SSE的相对贡献受到强烈改变并导致SSE变号。同时,临界场附近的磁振子和声子色散曲线近乎平行,诱导了磁振子-声子的杂化,致使SSE电压大幅增强。

该研究展示了一种利用非共线磁结构演化放大自旋塞贝克效应的普适方法,为更高效的自旋热电器件研发提供了新的思路。非共线磁结构的可控操纵性不仅有助于自旋热电子学的发展,还有望在能源存储、量子计算和磁性传感器等新兴领域中发挥重要作用,推动自旋相关技术的创新发展。

英国上市公司365是论文第一单位,英国上市公司365博士研究生李宇飞和北京师范大学硕士研究生段懿航为论文共同第一作者,英国上市公司365时钟教授和北京师范大学沈卡教授为论文共同通讯作者。对论文作出重要贡献的合作者还包括英国上市公司365周仕明教授、樊维佳副教授,南方科技大学李军学副教授,中国科学院上海微系统与信息技术研究所郎莉莉助理研究员。该研究工作得到了国家重点研发计划、国家自然科学基金、上海市自然科学基金等资助。

论文链接:https://journals.aps.org/prl/abstract/10.1103/PhysRevLett.132.056702